回归模型
回归模型
你我皆温柔回归模型
1. 有监督学习
1.1 线性回归
1.1.1 正规方程法
$ h(X_i;\theta)=\theta_1x_1+\theta_2x_2+\theta_3x_3=x^T\theta$
均方误差: $ MSE = \frac{1}{n}\sum_{i=1}^n(y_i-h(X_i))^2$
最小化损失函数:$ argminL(\theta)=\frac{1}{n}\sum_{i=1}^n(y_i-h(X_i;\theta))^2$
求解最优参数即求解最小化损失函数
- 构建损失函数
- 对损失函数求导(一阶偏导数即梯度 Gradient),令其等于0
- 求解二阶偏导数(黑塞矩阵 Hessian矩阵),判断极值情况,$ X^TX>=0$时,取极小值$ \theta$
- 求参数θ: $ \theta = (X^TX)^{-1}X^Ty$ (要求$ X^TX$可逆(列满秩),若不可逆则需要正则化)
1
2import numpy as np
w = np.linalg.inv(X.T@X)@X.T@y
1.1.2 梯度下降法(Gradient Descent)
- 选定一个初始点,从初始点开始沿着梯度的负方向移动,直至收敛
- 设 $ f(x)=x^2-1$ , 则迭代函数为$ x_{k}=x_{k-1}-\alpha∇xf(x{k-1})$
- $ ∇xf(x{k-1})=2x$
- 假设$x_0=3,\alpha=0.6$
- 按迭代函数迭代,最终找到一个无限趋近于0的值,在一定范围内则认为它是最优解
- 注意:
- 学习率
- 初始点
- 目标函数
- 以上三个都会影响最终的效率,可能导致梯度下降失效
- 缺点
- 每次迭代==整个数据集==,一旦样本量较大时,计算梯度的时间开销会变大
1.1.3 随机梯度下降法(Stochastic Gradient Descent)
在随机梯度下降中,我们每一次迭代更新 θ,都只考虑其中==一个样本==对应的损失函数 $ J_i(θ)$。通过这种方法,我们用 $ ∇θJ_i(θ) = (y_i− x^⊤_iθ)x_i$来近似 $ ∇_θJ(θ)$
停机准则:
- ==最大迭代数T==:迭代数超过T,则算法停止
- ==提前设定一个阈值==:系数与前一代相比的改进低于这个阈值(认为本次迭代产生了相反的效果),则算法停止
- ==损失函数值==:当损失函数十分趋近于0时,算法停止
1.1.4 小批量梯度下降法(Mini-Batch GD)
- 我们将数据分为一共 B 个块 {$x^{(1)}, x^{(2)},··· ,x^{(L)}$},其中每一块的样本数量为 $ n_1, n_2, · · · , n_L$。然后在更新系数时综合考虑一个块内的数据,算法遍历每个数据块。这时损失函数可以表示为
- 小批量梯度下降算法的伪代码如下:
- 要求:
- 使每个块的样本数都相同
- 通过调整B块的大小,调整算法效率
- 块中样本数为1时,则为随机梯度下降算法
- 更适合在线学习: 因为数据是不断变化的,理论上来讲数据集是无限大的,此时用随机梯度下降算法,更新系数的成本十分大(每次更新数据都要更新系数);此时用小批量梯度下降算法则更新系数时,仅需要部分样本
- 梯度下降算法的收敛性分析(==待完善==)
- 凸函数
利普希兹连续
1.1.5 牛顿法
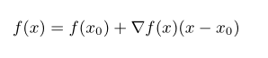
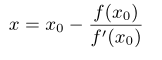
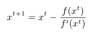
牛顿法用迭代和不断逼近的思想来求解一个比较复杂的方程的根
牛顿法的核心思想是对函数的一阶泰勒展开求解
将$ f(x)=0$代入
在近似解x处一阶展开,更新近似解x的值,我们得到一个迭代方程
利用迭代方法逼近最优解以解 f(x) = 0
2.1 非线性回归
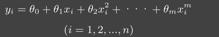
2.1.1 多项式回归
- 通常多项式回归模型函数的形式为
- 标准方程法
- 其损失函数为
- 用最小二乘法求得最优解为
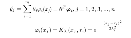
2.1.2 径向基回归
1 | 径向基函数: 是一个取值仅依赖于到原点距离的实值函数,f(x)=f(|x|),任一满足f(x)=f(|x|)的函数都可称之为径向函数 |
- 高斯核函数
- 表达式
- $ \lambda_i为方差,r_i为均值$
- 随着均值和方差的变化,高斯函数会随着发生变化,数据拟合的曲线是均值方差不同的高斯分布函数,由于e的指数函数的值必大于0,用标准方程法,得到其最优解为 $ \theta^* = (\varphi^T\varphi)^{-1}\varphi^Ty$
- 表达式
2.1.3 正则化
1 | 在前面的线性回归问题中,用正规方程法得到的参数值θ,当(X^TX)不可逆时,无法使用正规方程法,此时我们可以用正则化的方式处理 |
- 岭回归
- 套索回归
- 弹性网络
- 收缩估计器
- 参数选择
总结
1 | 无监督学习:从给定数据集中学习出一个函数(模型),对于新的数据,可以通过这个函数或模型预测结果 |
- 数据预处理
- 标准化
- 归一化
- 牛顿法和梯度下降法的比较
- 梯度下降法考虑一阶函数,而牛顿法考虑二阶函数;梯度下降法仅考虑当前位置的坡度,而牛顿法不仅考虑当前位置,还考虑下一步的坡度
- 梯度下降法要计算梯度,而牛顿法要计算二阶导数矩阵及其逆,因此牛顿法复杂度更高
- 梯度下降算法要设置学习率,牛顿法不需要,省去了调参时间














